Tholen - Het UVW heeft deze week het register met bedrijven die NOW 3.1 hebben ontvangen openbaar gemaakt. De coronapijn in de economie is namelijk nog lang niet voorbij. De protesten worden steeds luider en mensen snakken naar versoepeling. Kunnen de tuincentra bijvoorbeeld weer open? En de horeca?
Die beide (vrijwel) gesloten afzetkanalen maken dat tal van telers omzetverlies leiden. En met hen tuinbouwtoeleveranciers. Net als in eerdere NOW-rondes heeft de redactie haar best gedaan een tuinbouwoverzicht te geven zonder te pretenderen volledig te zijn. Het overzicht (onderaan) is tot stand gekomen op basis van openbaar beschikbare informatie en een inkijkje geeft in de financiële stand van zaken in de sector.
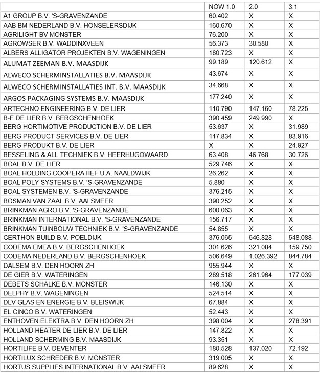
Het gaat bij de bedragen in de lange lijst om een voorschot voor de derde aanvraagperiode van de tijdelijke Noodmaatregel Overbrugging Werkgelegenheid. Net als in eerdere NOW-rondes kan het zijn dat voorschotten later terugbetaald worden als blijkt dat het omzetverlies dat is ingeschat lager uitvalt. Voor de NOW 3.1 kwam elk bedrijf dat tenminste 20 procent omzetverlies verwachtte in aanmerking.
De NOW 3 is opgedeeld in drie tijdvakken. Het tweede tijdvak (3.2) loopt momenteelt t/m maart en daarna volgt een derde tijdvak (3.3) t/m juni. Alle ins-en-outs over de regeling zijn hier na te lezen bij de Rijksoverheid.
Blik op de tuinbouw
Wat opvalt is dat er in de derde ronde bedrijven op de UWV-lijst staan die er in de eerdere twee rondes niet op stonden. Ook valt dat er tuinbouwtoeleveranciers zijn die geen voorschot ontvingen in de tweede NOW-ronde, maar wel weer in de NOW 3.1. En dat er bijvoorbeeld t.o.v. de NOW 2.0 veel meer vestigingen van Intratuin een voorschot ontvingen in ronde 3. Niet gek, omdat in het najaar de positievere stemming in de zomer omsloeg en uiteindelijk tuincentra ook weer moesten sluiten. Ook een grote sierteeltcoöperatie als Royal FloraHolland ontving met bijna 6,5 miljoen euro 2 miljoen meer aan als voorschot dan bij de NOW 2.0.
Onder de in de voedingstuinbouw het hardst getroffen bedrijven ontving Koppert Cress met bijna 1,2 miljoen euro een vergelijkbaar voorschot als in de NOW 2.0. Of er meer of minder tuinders hebben ingetekend, is moeilijk uit de lijst op te maken. Wie zelf gaat zoeken, ziet dat er toch serieuze bedragen werden ontvangen door telers in zowel sierteelt, groenten en fruit. Het gaat al snel om tienduizenden euro's bij heel veel meer telers dan er op één of twee A4tjes passen.
Schatting omzetverlies
De derde aanvraagperiode NOW biedt werkgevers een tegemoetkoming in de loonkosten over de maanden oktober tot en met december 2020. Het gaat om een subsidie, zo stelt de uitkeringsinstantie. De tegemoetkoming bedraagt maximaal 80 procent, afhankelijk van het verwachte omzetverlies. Het voorschot dat UWV heeft betaald, is 80 procent van de berekende tegemoetkoming.
Het register kan in de loop van tijd nog wijzigen, waarschuwt UWV. Het register zal op een later tijdstip aangevuld worden met de definitieve tegemoetkomingen. De definitieve bedragen kunnen afwijkend zijn van de voorschotbedragen.
Bekijk het volledige register NOW 3.1 hier bij UWV.
En hieronder de tuinbouwlijst van de redactie. Geprobeerd is een overzicht te geven van alle tuinbouwtoeleveranciers die in de NOW 3.1 een voorschot van meer dan 50.000 euro ontvingen (of in eerdere rondes). Zoals al gezegd: wij pretenderen niet volledig te zijn, maar geven met de lijst een inkijkje in de financiële situatie in de sector. Daarbij dient men te bedenken dat het uiteindelijk de telers zijn die producten van tuinbouwtoeleveranciers afnemen en dat als zij het zwaar hebben, toeleveranciers dat ook (gaan) merken. Verder is het belangrijk te bedenken dat de bedragen in onderstaande lijst soms ook alweer teruggestort zijn.
Hetzelfde principe geldt ook in de AGF-handel. Hiervoor maakte de redactie van AGF, met een focus op de AGF-handel, een overzicht. Dat overzicht is hier in te zien.


